DG视讯官网 DG视讯官网
 
  EN
 
首页 > 公司动态 >  糖苷——天然产物及衍生物的活性秘密之一

糖苷——天然产物及衍生物的活性秘密之一

2020年08月24日
天然产物是动植物体内的内源性化合物,其对生物的生命活动起着正向调节的功能。天然产物及其衍生物的活性一直是研究人员在生物领域探究的重点,但大多数天然产物离开机体后都会变得不稳定且活性也会降低,这对研究造成了不小的阻碍。

因此,研究人员将天然产物修饰为相应的衍生物,增加其稳定性及活性,以此来揭示天然产物本身活性的秘密。糖类作为一种稳定的天然产物,生物活性却较为单一,限制了其应用的范围。而糖类与其它非糖物质结合形成的新化合物—糖苷不仅保留了糖类本身的性质,更是引入了更多的生物活性,提升了应用价值。


糖与糖苷

糖是自然界最为丰富的一种的天然产物,可分为单糖、寡糖、多糖等。糖在生物的生命活动中不可或缺,是一切生命体维持生命活动所需能量的主要来源。除了作为能源物质以外,糖还是大多数药物的活性成分之一。糖对药物的影响是正向的,但是它表达的活性不高且较为单一,这也导致其市场应用价值不高,因此,相关研究人员对糖进行了修饰,得到其衍生物—糖苷化合物。

糖苷化合物是由糖与另一非糖物质通过其端基碳原子连接而成的。不同于糖类,糖苷化合物的生理活性更为多样,它在血管系统、呼吸系统、消化系统、神经系统以及抗菌消炎,增强机体免疫功能、抗肿瘤等方面具有不同的活性,具备更多的市场应用价值。
在植提产物中,也存在不少的糖苷化合物,下图列举了研究人员较为常用的几个糖苷化合物,通过对它们结构的分析,可以粗略地了解糖苷的性质。



糖苷化合物都具有相同的结构—糖基,该结构中存在多个-OH基团,因此对于一种非糖物质而言,糖基的引入一方面可以赋予分子重要的性状特征和空间电子性质,增加其结构多样性;另一方面,可以提高药物分子的靶向性、改善其代谢的动力学参数并调节分子的药理活性。通常经糖苷化修饰作用后,化合物除了结合态的稳定性变强外,其某些生物活性也会发生较大的改变,诸如增强其药效及靶向作用、降低副作用、提高生物利用度等。

在对一种糖苷化合物了解之前,科学家们通常会对其进行分类以便于研究。糖苷化合物的分类方法也有很多种[1]:
(ⅰ)根据在生物体内存在的形式,可分为原生苷和次生苷;
(ⅱ)根据糖基的个数,可分为单糖苷、双糖苷、三糖苷等;
(ⅲ)根据糖链的数目,可分为单糖链苷、双糖链苷等;
(ⅳ)根据非糖物质的部分,可分为黄酮苷、香豆素苷、蒽醌苷等。

除了上述方法以外,还有一种较为常见的分类,是根据非糖物质与糖基连接的原子,将糖苷分为氧苷、硫苷、氮苷、碳苷等。

1.氧苷

红景天苷(典型氧苷)
氧苷是糖与非糖物质通过氧原子相连,这是最为常见的一种糖苷。根据非糖物质的种类,氧苷又可分为醇苷、酚苷、氰苷、酯苷、吲哚苷等,高原地区较为人熟知的红景天苷就属于醇苷这一种类。

2.硫苷


萝卜硫苷(典型硫苷)
硫苷是非糖物质通过巯基所形成的一种糖苷,如在萝卜、西蓝花中广泛存在的萝卜硫苷就是硫苷的一种。
3.氮苷

鸟苷(典型氮苷)
氮苷是非糖物质通过氮原子相连形成的一种糖苷,与其他糖苷不同,氮苷是利用核糖与其它非糖物质结合而成,其结构中糖基部分通常为五元环。氮苷在生物化学领域具有重要的作用,如鸟苷这类化合物,就是组成DNA的重要原料之一。
4.碳苷

葛根素(典型碳苷)
碳苷是非糖物质通过碳原子相连形成的一种糖苷,其通常为酚性化合物,具有溶解度小、难水解的特点,如葛根素等。

糖苷的合成—化学合成

糖苷化合物广泛存在于植物体内,利用植提技术就可以获得。但植提存在操作技术困难、提取率低等问题,因此,研究人员获得糖苷化合物通常采用化学合成的方法[2]。
1.Koenigs-Knorr法


Koenigs-Knorr法是由Koenigs、Knorr等研究人员于1901年建立。该法是以溴代糖或氯代糖为糖基供体,在银、汞等重金属离子的活化下,与受体发生糖苷化反应。这一方法至今仍被广泛使用,优点在于简便、成熟,但也存在原料稳定性差、反应产率低等问题。
2.Fischer糖苷化法


Fischer糖苷化法是德国化学家Fischer在1893-1895年期间发现的。该法利用了酸性催化剂,将小分子糖与醇反应生成糖苷,是一种比较经济的糖苷化合物合成方法这一方法优点在于原料稳定、经济,但是反应结束后会产生大量废水,易对环境造成污染。

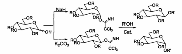
3.三氯乙酰亚胺酯法


三氯乙酰亚胺酯法是Schmidt于1980年发现的,也称Schmidt法。该法是在碱的催化下,部分保护的糖和三氯乙腈加成得到三氯乙酰亚胺酯,然后再在Lewis酸催化剂的作用下反应生成糖苷。 这一方法反应条件温和、应用范围广、合成的糖苷产率较高,因此被称为最有价值的糖苷合成方法。




糖苷的合成—生物合成



除了化学合成以外,糖苷化合物还可以利用生物合成的方法获得,通常是非糖物质在酶的催化作用下被其它离子或基团取代,再在同一处将糖基转移上去。其大致过程可以用下图表示。


糖基转移酶催化天然产物糖苷化过程[3]


酶是生物合成过程中不可或缺的,这种用于催化糖苷化反应的酶通常来源于植物的本身,还有一些特殊的酶也可以从细菌、病毒等微生物体内找到。糖苷化反应的过程可以看出,用到的酶并不是单一的,每一种酶都有自己的专一性,因此,研究人员通常会将酶按照一定的特性进行分类,以便识别利用。糖苷化酶也不例外,也可以按照一些因素进行分类[4],如:

(ⅰ)根据催化的底物不同,可分为氧糖苷化酶、硫糖苷化酶、氮糖苷化酶、碳糖苷化酶等;
(ⅱ)根据分子空间结构的不同,可以分为GT-A和GT-B两个酶的超家族;
(ⅲ)根据催化反应机制,可以分为保留型和转化型酶;
(ⅳ)根据基因序列、分子特异性等综合因素,酶还可以被划分为111个家族。

在被划分的111个家族中,以UDP一葡萄糖为底物的糖苷化酶家族最为庞大,被称为UGT家族。UGT家族糖苷化酶的空间结构为GT-B型,催化机制通常表现为转化型。UGT家族中最常用的糖苷化酶非UGTs酶莫属,一些常见的糖苷化反应都离不开UGTs酶的催化作用,比如高原植物红景天体内红景天苷的形成。在红景天体内,UGTs酶会催化酪醇发生糖苷化反应,生成具有多种生理活性的红景天苷。


红景天苷合成过程
虽然酪醇本身具有一定的生理活性,但其活性较低、生物利用度不高也是令研究人员十分头疼的问题,而红景天苷的出现则展示了糖苷类化合物的优势所在。研究人员不仅发现红景天苷具有提高机体免疫力、改善人体造血机能、抗缺氧、抗衰老、抗肿瘤、抗疲劳、降血糖、抗病毒、抗放射、保护心脑血管等多种功能活性,还发现了红景天苷的生物利用度远高于酪醇,更适合用于药物的生产。

结语

糖苷化是对天然产物进行修饰生成糖苷化合物的有效途径之一,它可以改善天然产物的稳定性、生理活性等,提高天然产物的生物利用度。目前已知获取糖苷化合物的技术中,植提最为常见,但是技术难度最高,产率较低;化学合成虽然提升了糖苷的产率,但其存在的高污染、高成本等问题也不容忽视;反观生物合成这一技术,它不仅能够解决植提技术存在的高难度、低产率的问题,也不会像化学合成一样对环境造成污染。

现今生物技术存在的问题在于酶的本身,因为酶对反应的条件要求非常苛刻,需要满足合适的温度、酸碱度等条件,因此生物酶技术的应用不如化学合成那么广泛,但随着科学技术的发展,相信这种高效的技术一定能够运用到糖苷类化合物的生产中,利用天然技术生产、修饰天然产物是每一个生物领域工作者的目标。

(文章内容源于相关研究资料的整理,若有不足之处,欢迎指正)

参考资料

[1] https://wenku.baidu.com/view/8e49e0e5571252d380eb6294dd88d0d232d43c7e.html

[2] 李志伟. 糖苷衍生物的合成方法研究[D]. 河北大学, 2007.

[3] 江灵敏. 酪醇的羟基化与糖基化研究[D].湖南中医药大学,2019.

[4] http://www.cazy.org/GlycosylTransferases.html


封面图源:网络